高性能复合材料成型工艺仿真分析

 / 倒序浏览   © 文章版权由 shuili_123 解释,禁止匿名转载

作者:shuili_123 2024-11-6 21:06:25
跳转到指定楼层

马上注册,结交更多好友,享用更多功能,让你轻松玩转社区。

您需要 登录 才可以下载或查看,没有账号?立即注册

x

1.工艺过程仿真分析技术有哪些

方钉工社

2.工艺过程仿真分析技术包括

1 引言热压罐成型技术是目前航空航天用先进复合材料结构广泛采用的成型方法之一,主要用于大型复合材料蒙皮壁板、肋、框等的制造成型在热压罐成型过程中,复合材料构件的几何尺寸、材料特性、铺层设计、固化成型工艺参数及工装设计在不同程度上,均影响最终成型尺寸精度,并且增加后续装配制造成本。

3.工艺过程仿真分析技术论文

为克服这方面的困难,传统的解决方法是在反复试验的基础上确定结构件的固化工艺参数并通过修改模具型面等方法进行补偿由于影响因素众多,采用实验方法确定工艺参数有一定的局限性通过数值模拟方法分析各种因素对成型质量的影响,进而选取合理的工艺参数,对节省试验费用和缩短研制周期具有重要意义【。

4.工艺流程仿真

1,2】。

5.工艺仿真基本流程

图1 大型复合材料结构成型过程中容易产生变形回弹等问题2 基于Simcenter3D平台的固化成型工艺仿真复合材料构件在热压罐固化成型过程中,由于罐内温度分布变化以及树脂固化反应放热效应,构件内部不可避免的会产生温度梯度及残余应力,导致构件变形和天然缺陷。

6.工艺仿真设计

复合材料固化过程大致可分为以下三个阶段:(1)树脂流动阶段:树脂尚未固化,材料呈粘性流动状态;(2)树脂升温固化阶段:树脂固化开始,树脂从粘流态逐渐向玻璃态转变,树脂基体模量增加且体积收缩,材料呈粘弹性行为。

7.工艺仿真定义

此阶段由于温度梯度的存在导致不同位置固化程度不同,这是固化变形产生的根源所在;(3)降温脱模阶段:完全固化阶段,材料呈现弹性行为西门子基于Simcenter 3D推出了完整的复合材料成型工艺仿真解决方案,涵盖整个工艺过程中的:热压罐内复杂热流耦合分析、纤维在模具上的铺放分析、复合材料成型过程中的热化学、热结构非线性有限元分析能力。

8.工艺仿真的作用

本文将结合美国One Aviation的小型公务机Eclipse 500的机身壁板为例,介绍西门子Simcenter 3D平台的制造工艺仿真能力。

9.工艺仿真软件有哪些

图2 基于西门子Simcenter 3D平台的复合材料制造工艺仿真解决方案3 Simcenter 3D 固化分析理论背景复合材料的固化是一个包含多种物理现象同时进行的复杂过程:罐内气体流动、制件本身的热化学反应,结构在整个工艺工程中受到真空负压、辅助材料及模具的约束等分别涉及到流体力学、热化学和力学等学科。

10.工艺仿真是什么

图3 先进复合材料热压罐固化成型工艺示意图这些问题如果在建模的时候同时考虑,整个模型会非常复杂且难以获得收敛解在Simcenter 3D分析过程中将其解耦并简化第一步:利用热压罐的热流分析计算出制件在整个工艺过程中的外部热边界条件。

第二步:利用热化学分析得出材料本身的温度场、固化度场和玻璃态转变温度场第三步:结构有限元分析,利用上一步计算结果判断出树脂的力学性能,接着考虑到纤维在固化过程的物理属性基本不受影响,通过均匀化的方法得到单个铺层,然后整个复合材料构件的力学属性,最终综合第一步获取的制件外部热边界条件及本身的约束,进行结构的残余应力、固化回弹分析。

3.1热流分析在热压罐内获取均匀的热流场对于工件的质量控制有着非常重要的作用,对于小型几何较规则的零件来讲这个条件可能比较容易满足,但是对于多个零件同时固化,或者零件外形曲面比较复杂的情况下,亦或零件较大的情况下,温度一致性通常很难得到满足。

换句话说,零件本身的热历史并没有完全跟随理论上设计好的固化工艺曲线事实上,工业级的热压罐本身就含有一套复杂的控制逻辑来控制罐内温度西门子Simcenter 3D平台提供了强大的热流仿真能力可对不同的固化工艺进行分析。

图4 利用Simcenter3D平台对多个零件并罐生产时热压罐内流场分析

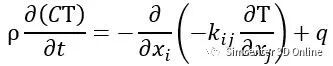
图5 零件真实热边界条件(左侧图例为流速;右侧为温度)3.2 热化学分析热压罐成型工艺的仿真的核心是复合材料树脂固化过程的仿真。热固性树脂基体的固化过程通常是一个放热过程。其热控制方程如下:

其中,

、C、T、

、分别是复合材料的密度、比热容、温度和热传导系数方程的主体是傅立叶定律其右侧的描述了固化过程的内部放热量由于此反应的自催化特性和树脂本身的低热导率,此项的存在直接导致了构件内部的温度梯度,进而影响了构件不同位置的固化度和最终内部应力的生成。

内部放热量是固化度的函数:

其中,

是树脂完全固化的比焓;

是固化速率,也就是固化度的时间导数;

是纤维的质量分数固化率是一个与温度和固化度有关的函数其可以通过不同类型的固化动力学模型来表征Simcenter 3D中提供了包括n阶和自催化反应在内的6中固化动力学模型,同时还支持用户自定义动力学模型 另一个重要的材料热化学参数是玻璃态转变温度

,其由经典的Di-Benedetto方程描述:

其中,

分别是树脂处于液态(X=0)和完全固化状态(X=1)的玻璃态转变温度。

图6 零件热化学分析获得的温度场(右图为某位置处的温度历史)3.3 结构有限元分析固化过程中材料本身内部应力的积聚和最终变形回弹的效果主要由以下几个因素影响:(1)构件内的温度梯度和不均匀的固化度场导致的材料属性演化;

(2)材料本身的热膨胀;(3)树脂的固化收缩;(4)模具同工装的相互作用第一个因素主要影响着材料本身的力学性能热固性树脂固化过程中,树脂可被认为是各项同性的弹性材料,其力学性能随着温度和固化反应的进行而不断变化。

随着固化度的增加,其经历了三个状态:液态:

,其中

为凝胶点;凝胶态:

玻璃态:

图7 热固性树脂固化过程综合前一步热化学分析出来的温度场、固化度场和玻璃态转变温度场,可以确定出制件在整个工艺过程中任何时间任何位置上树脂的物理属性同时假设到纤维本身在固化过程中的物理化学属性保持不变,即可通过均匀化的方法获得整个层压板在固化过程中的工程物理属性,包括杨氏模量、泊松比、剪切模量等。

第二和三个因素可直接由热膨胀系数和化学收缩率这两个参数表征最后一个因素,零件在固化过程中,由于真空袋、挡胶条、吸胶材料等工艺辅助材料的限制作用下,实际上在固化过程中的相对于模具的变形量比较小;在固化完成并脱模释放之后,结构在固化过程中积累的应力得到释放并产生了回弹。

固化过程中,预浸料在树脂仍处于液态情况下跟随工装一起膨胀,随着固化的进行,材料从液态变化到凝胶态再到固态本身的物理化学性质发生了变化,其同工装之间的摩擦力变小,固化后期冷却的时候由于其本身热膨胀系数和工装的热膨胀系数不匹配,零件无法线性回缩到工装原始位置,也就是无法回缩到正常设计尺寸。

固化脱模之后,材料本身在热压罐之内的热、结构边界条件需要释放具体有在罐内的热流换热条件、罐内工装同零件的热交换条件、罐内本身部件受到工装的机械约束(真空袋压、紧固件等)还需要新添加脱模后真实的机械约束不同的约束条件对于正确的变形结果的预测有非常重要的影响。

图8 零件热结构分析得出的固化变形回弹量(透明处为未变形模型)4 结语基于西门子Simcenter 3D平台,可以对典型先进复合材料结构件在制造工艺过程中出现的变形回弹及残余应力水平评估其能够考虑制造工艺过程中的各种因素对于结构最变形的影响,例如:热压罐温度场,复合材料铺层的设计(材料、角度、厚度、层序等)、工装、工艺控制等等。

其有助于当前制造工艺的改进,指导模具、复合材料结构本身的设计,能够帮助先进复合材料制造项目减少反复尝试的次数,对于降低项目成本提高项目速度有很大的帮助Simcenter 3D在欧洲航空航天业界有着非常广泛的应用,。

AIRBUS全球及其供应商已经使用Simcenter3D进行飞机复合材料机身制造工艺仿真分析、结构分析和优化有二十余年,EUROCOPTER、EADS、SAFRAN、DLR、LATECOERE、SONACA

、ENSICA、ENS、GE、ALSTOM等众多全球知名企业都在采用Simcenter 3D进行复合材料结构和制造成型分析Simcenter 3D软件在复合材料方面的专业性和实用性也得到了广泛的认可参考文献:

【1】王雪明,谢富原. 热压罐成型复合材料复杂结构对制造缺陷的影响规律[J]. 航空学报,2009,30(4):757-762【2】张纪奎,郦正能. 复合材料层合板固化压实过程有限元数值模拟及影响因素分析

[J]. 复合材料学报,2007,24(2):125-129【3】陈晓静. 复合材料构件固化成型的变形预测与补偿[D]. 南京航空航天大学,2011:5-7【4】Fernlund G, PoursartipA

, Nelson K, et al. Processmodeling for dimensional control-sensitivity analysisof a composite spar process[J]. Int. SAMPE Symp.

,1999,44:1745-1754

方钉导航

分享:

成为第一个回答人

高级模式 评论
您需要登录后才可以回帖 登录 | 立即注册
Archiver 手机版 小黑屋
Copyright © 2001-2025 Comsenz Inc.  Powered by Discuz! X3.5  沪ICP备2021008143号-5