论文精选 | 面向生产线仿真的数字孪生逻辑模型构建方法

 / 倒序浏览   © 文章版权由 shuili_123 解释,禁止匿名转载

作者:shuili_123 2024-11-10 20:05:35
跳转到指定楼层

马上注册,结交更多好友,享用更多功能,让你轻松玩转社区。

您需要 登录 才可以下载或查看,没有账号?立即注册

x

1.数字工厂多维信息模型构建技术有哪些

方钉文库

2.数字工厂多维信息模型构建技术研究

■【 Call For Paper 】DigiTwin 2023 第三届数字孪生国际会议(2023年10月4-6日,法国巴黎)征文通知本期阅读本文来源:《计算机集成制造系统》面向生产线仿真的数字孪生逻辑模型构建方法

3.数字工厂多维信息模型构建技术包括

这篇文章到底讲了什么?使用了哪些研究方法?得出了什么具体结论?参考的数据和资料有哪些?文章导读2022年2月上线论文“一种数字孪生多维模型的更新方法”,这篇文章由施佳宏,刘晓军,刘庭煜,陶飞,胡天亮, 孙铮,徐俊,戚庆林,黄佳圣,朱铭浩,

4.数字工厂实例

岳士超共同完成为实现基于数字孪生的生产线仿真技术,提出面向生产线仿真的数字孪生逻辑模型构建方法首先提出生产线仿真系统组成架构,然后从几何、物理、生产行为、仿真规则4个维度阐述数字孪生逻辑模型的构建方法,详细介绍几何属性、物理属性的定义方法,采用有限状态机定义的生产行为,并定义行为信息传递规则、同步推进规则和互斥优先规则3类仿真规则。

5.数字工厂的典型四层架构

基于模型构建方法开发了生产线逻辑仿真原型系统,通过生产线实例仿真验证了建模方法的有效性文章信息2022年2月,文章发表于《计算机集成制造系统》期刊DOI:10.13196/j.cims.2022.02.010

6.数字工厂的六大系统

论文链接:http://www.cims-journal.cn/CN/10.13196/j.cims.2022.02.010引用本文:施佳宏,刘晓军,刘庭煜,陶飞,胡天亮,孙铮,徐俊,戚庆林,黄佳圣,朱铭浩,岳士超.面向生产线仿真的数字孪生逻辑模型构建方法[J].计算机集成制造系统,2022,28(02):442-454.

7.数字工厂整体解决方案

原 文 阅 读面向生产线仿真的数字孪生逻辑模型构建方法施佳宏1,刘晓军1+,刘庭煜1,陶飞2,胡天亮3,孙铮4,徐俊4,戚庆林2,5,黄佳圣1,朱铭浩1,岳士超11东南大学机械工程学院2北京航空航天大学自动化科学与电气工程学院

8.数字工厂建模技术方案

数字孪生研究组3山东大学机械工程学院4西安交通大学机械制造系统工程国家重点实验室5香港理工大学工业与系统工程系摘要生产线仿真是保证生产设计方案正确、合理、高效的前提,其中对生产线逻辑的正确性仿真最为关键。

9.数字工厂的优势

为实现基于数字孪生的生产线仿真技术,提出面向生产线仿真的数字孪生逻辑模型构建方法首先提出生产线仿真系统组成架构,然后从几何、物理、生产行为、仿真规则4个维度阐述数字孪生逻辑模型的构建方法,详细介绍几何属性、物理属性的定义方法,采用有限状态机定义的生产行为,并定义行为信息传递规则、同步推进规则和互斥优先规则3类仿真规则。

10.数字工厂建设

基于模型构建方法开发了生产线逻辑仿真原型系统,通过生产线实例仿真验证了建模方法的有效性关键词:生产线仿真、数字孪生逻辑模型、有限状态机制、生产行为、仿真规则1. 引言 制造业是我国经济的支柱产业,也是我国经济

“创新驱动、转型升级”的主要战场随着经济的发展,产品多样化、个性化、定制化发展的趋势越来越明显,为了适应目前多品种、中小批量的产品需要,柔性生产线( Flexible Manufacturing Line,FML)。

应运而生,特别是在航空、航天、雷达制造等行业,由于产品零件自身的结构特征和科研生产任务的性质,其零件制造呈现出品种多、批量小、周期短等离散型生产模式的特性,导致生产线频繁变动为确保改造后的生产线能够满足生产需求,产前规划是改造前必不可少的步骤。

生产线仿真关注生产规划这一环节,利用虚拟仿真技术对生产线的布局、工艺路径、物流等进行预规划从实际的物理生产过程来看,生产线仿真是实现虚拟生产线和预测产能的重要决策依据国外对生产线仿真技术的研究起步较早,目前已经成熟,在欧美等国家和地区,生产线仿真软件已广泛应用于航空航天、汽车、造船等领域的生产规划,在工厂仿真领域主要有美国的Flexsim、西门子公司的Plant Simulation和芬兰的门子公司的Plant Simulation[8]和芬兰的Visual Components等。

近年来,国内的专家学者也对生等近年来,国内的专家学者也对生产线仿真软件的不同层面进行了研究,戴晓明等较早开始研究生产线动态系统仿真,采用Visual C++和Visual Basic开发了DEDS Sim 软件,但仅。

应用于某一炼钢连铸离散事件动态系统;胡明明等针对钢材加工生产的复杂管理问题,研究设计了面向钢材加工作业的离散生产仿真软件;何骏等采用面向对象的方法,通过定义事件类来封装底层逻辑功能,提供了实现离散事件通用仿真平台

的新思路,但其事件类的定义不够完善相比国外,国内对生产线仿真技术的研究起步较晚,研究工作开展得比较分散,尚未形成成熟的通用化生产线仿真平台目前所用仿真技术的仿真过程基本独立于物理世界,缺少刻画和反映物理车间中生产线行为、规。

则、约束等信息的模型近年发展的通过数字孪生(digital twin)技术沟通物理世界与信息世界的理论,对提升生产线仿真技术有重要作用数字孪生用于实现物理空间与虚拟空间之间的互联互通,数字孪生模型间可交互的特性能够有效联通生产车。

间,为提高仿真的逼近性提供了新思路柳林燕等认为数字孪生技术为车间生产过程的高效运行提供了一种技术手段,其中数字孪生模型是数字孪生技术的核心,是对生产线现场的实体映射数字孪生建模是通过虚拟模型存储和管理相关数据,。

实现物理实体在虚拟空间的数字化重现;VRABIC等提出数字孪生模型是通过共享数字空间来定义模型间的行为交互及相互关系;SCHLEICH等通过构建一种展现产品全生命周期的数字孪生模型,指出构建有效数字孪生的核心

是准确的数据和准确的模型;NEGRI等制造系统中模型的具体行为与核心仿真分开,用于灵活启动数字孪生模型的特定行为;陶飞等指出虚拟车间的本质是模型的集合,数字孪生模型包括要素、行为、规则3个层面,是对物理车间的数字化

重建,可以真实地反映物理世界虽然在专家学者的广泛研究下,将数字孪生技术运用于生产车间建模的理论知识和技术研究已经得到极大拓展,但是目前对数字孪生模型的研究处于全要素信息抽象阶段,尚未对专业领域中数字孪生模型的构建过程进。

行研究,尤其是用于生产线仿真的数字孪生模型的建立本文基于数字孪生模型的几何、物理、行为、规则4个层面,对面向生产线仿真的数字孪生逻辑模型的构建方法进行研究首先,将物理实体抽象为数字空间中集几何、物理、生产行为和仿真规则于一。

体的数字孪生逻辑模型;然后,从单一模型加工运行状态转换和多模型协同运行仿真的角度,详细阐述模型构建的关键技术———有限状态机制下的生产行为以及模型间仿真规则的行为信息传递规则、同步推进规则、互斥优先规则;最后,设计并开发了通用

的生产线仿真原型系统,通过对某药厂包装线进行生产仿真验证了所提方法的有效性2. 生产线仿真系统组成架构生产过程是一个涉及多技术、多维度的复杂物理过程,在满足生产线仿真需求的前提下,将生产线仿真系统划分为物理实体层、数字孪生模型层和系统功能层,如图1所示。

其中,物理实体层指“人—机—物—料”等客观存在的实体集合,负责执行车间生产活动,并提供物理空间的数据信息;数字孪生模型层是物理实体层的真实映射,数字孪生模型间相互关联协作,对物理空间中的各类生产活动进行仿真分析;系统应用层中,生产线仿真系统与各智能制造信息系统进行服务融合,实现生产计划仿真、设备效率分析和生产流程优化等功能。

物理实体空间中,与生产线相关的制造资源包括制造设备、操作人员、物料和环境,通过其交互运作完成各类生产任务传统的虚拟仿真技术往往针对具体场景下的单一目标进行设备模型、人员模型、物料模型和环境模型的独立建模,难以满足制造资源在存在形式和业务流程上的多维度和多层次融合,无法完整真实地再现实际加工生产过程。

生产线仿真过程中,孪生模型面对不同类型和多样化功能的物理实体,需要建立统一的逻辑结构,进而构建数字空间中的数字孪生逻辑模型本文根据陶飞等提出的“几何—物理—行为—规则”多维度数字孪生模型,对生产线仿真的数字孪生逻辑模型构建方法展开研究。

利用数字孪生技术进行物理实体设备的虚拟空间建模,通过构建相应的数字孪生逻辑模型,实现生产制造资源从物理空间向数字空间的多维度映射,其中包括几何、物理属性对物理空间中制造设备的几何数据和物理特征的映射,生产行为对制造设备的状态变化、产品形态变化等行为的映射,以及仿真规则对物理空间设备运行和演化规律的映射。

因此,面向生产线仿真的数字孪生逻辑模型是在数字空间中从几何参数、物理属性、生产行为和仿真规则4个维度对生产制造资源进行描述的抽象模型

图1 生产线仿真系统组成架构3. 数字孪生逻辑模型的构建面向生产线仿真的数字孪生逻辑模型的构建过程如图2所示首先,以物理生产线中的实体为基础,提取生产过程中物理实体的尺寸信息、车间布局设计和实体加工方式等生产信息,作为数字孪生逻辑模型的几何参数和物理属性;然后,根据物理实体在实际生产过程中可能发生的生产行为,构建基于事件驱动的有限状态转移模型,使数字孪生逻辑模型具有行为特征、响应机制,以及进行状态转换的能力;最后,在几何属性、物理属性和生产行为的基础上,建立生产物理实体的数字孪生逻辑模型的仿真规则,通过制定模型间的同步推进规则和互斥优先规则,利用逻辑管道将仿真过程中产生的行为信息传递给相关联的模型,从而使各类模型设备具备演化、运转的能力。

图2  数字孪生逻辑模型构建过程4. 数字孪生逻辑模型的生产行为生产行为是实际生产加工资源的行为抽象,因为逻辑层面忽略了实际制造设备的加工动作,所以物理实体的数字孪生逻辑模型主要通过生产行为描述生产过程中相应要素的行为状态。

根据ROCHA等将UML序列图扩展绘制成有限状态机(Finite State Machine,FSM)的过程,本文通过有限状态机对数字孪生逻辑模型内部行为和外部输入事件的状态转移进行建模,描述模型在其生命周期内经历的有限状态序列,以及抽象模型因外部事件触发状态改变的所有情况。

单一生产制造加工设备在某道加工工序过程中共有空闲待机、正常作业和阻塞等待3种生产状态其中:空闲待机指物料还未进入制造设备时的待机状态;正常作业指物料进入制造设备后的加工状态;阻塞等待指物料完成加工后未被及时取出时的等待状态。

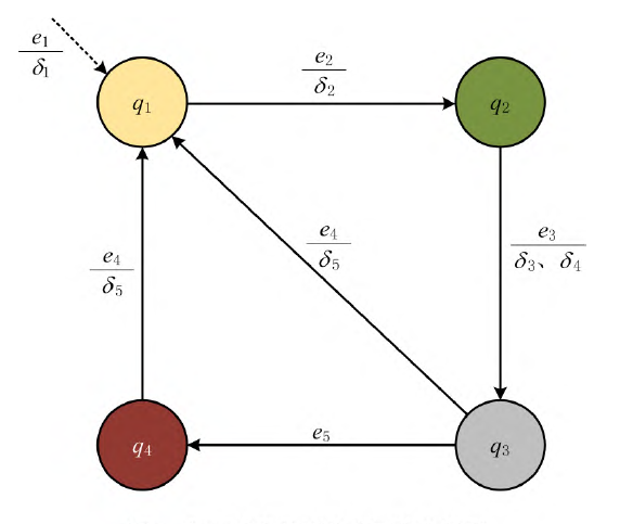
然而,仅通过这3种基本状态无法保证逻辑仿真的正确性,因此逻辑模型引入完成加工这一辅助仿真状态完成加工是瞬时状态,逻辑模型完成加工任务后将进入该状态,做出简单的事件响应后立刻转换为基本状态通过有限状态机构建的加工设备模型生产行为的有限状态模型如图3所示:。

图3 加工设备模型的有限状态模型根据表1中状态、事件、动作和转换的定义,加工设备有限状态模型的状态转换过程如下:表1 状态、事件和动作

(1)当仿真时间到达加工设备模型所设置的仿真进入时间e1时,加工设备模型进入逻辑仿真空间δ1 ,其初始状态为空闲待机状态q1(2)当物料模型的实例化对象到达指定加工位置e1时发生状态转换,加工设备实例化对象进入正常作业状态q。

2,并开始对物料进行加工δ2(3)当加工时间到达设置的加工时长e3时,加工设备模型结束加工任务δ3,并发送加工任务完成信号δ4,此时加工设备模型进入完成加工状态q3,若此时能够直接取出加工完成的物料e4

,则加工设备模型进行卸料操作δ5,返回至空闲待机状态q1,等待下一个加工任务到来;若当前无法直接取出加工完成的物料e5,则加工设备实例化对象进入阻塞等待状态q4,直到取出加工完成的物料e4,加工设备模型卸料δ

4并返回至空闲待机状态q15. 数字孪生逻辑模型的仿真规则在实际生产线加工过程中,各类制造设备通过中控系统发出的调度指令完成各自的生产任务并进行相应的信息反馈然而,在生产仿真过程中不是中控系统驱动所有生产资源有序执行,而是生产资源在综合考虑自身几何属性、物理属性和生产行为的基础上,自发地根据仿真规则实现生产线的自主运作,从而对实际生产线的中控系统正确和合理地进行预仿真和预验证。

因此,在将反馈信息包含于生产行为信息的基础上,仿真规则需实现抽象模型间的信息交互,从而保证逻辑仿真的正确映射仿真规则包括:不同数字孪生逻辑模型间的行为信息传递规则、解决仿真过程中事件驱动模型状态转换先后问题的同步推进规则,以及处理同级模型间资源竞争问题的互斥优先规则。

1行为信息传递规则在上述生产行为基础上,通过逻辑链路模型进行不同模型生产相关行为信息传递的过程如图4所示逻辑链路是加工工序相邻抽象模型间连接的逻辑管道,在数字空间中表现为一个有向连接通过逻辑管道相连的两个实例化对象间自动建立前驱和后续关系,以进行仿真信息交互。

其中,前驱和后续关系是相对的,前驱模型提供当前模型前一道加工工序的模型,后续模型提供当前模型后一道加工工序的实例化模型当模型对某些事件做出响应时,其状态发生转换,并将状态转换这一事件以信号的形式传输至逻辑管道,其前驱模型与后续模型读取逻辑管道中的事件信号后触发事件响应,做出相应的动作并改变其状态。

以此类推,完成整个逻辑仿真

图4 数字孪生逻辑模型事件信息传递规则因为完成每道工序所需的时间不同、各生产要素成本存在差异等原因,提供每道加工工序的生产要素数量不尽相同,所以抽象模型的信息交互存在两种不同的情况,分别为两个单一模型相连的一对一模式和单一模型和多个模型同时相连的一对多模式。

一对一模式下采用同步推进机制进行状态转换,一对多模式下采用互斥优先机制进行状态转换2同步推进规则在一对一模式下,数字孪生逻辑模型的状态转换取决于自身的仿真规则以及另一个模型传输的事件信号LETTIERI等将操作系统中生产者—消费者模型的概念融入通信双方消息发送或接收过程中,进而实现通信双方的同步运行。

本文采用生产者—消费者模型描述等待和通知机制生产者即上述通过逻辑链路连接的前驱生产资源,消费者即后续生产资源生产者只需关注是否可以发出物料,不用关注具体的消费者;消费者不用关注具体的生产者,只需关注是否有物料可以接收进行加工。

因为后一道工序的执行需要完成前一道工序的物料加工,所以将前一道工序的数字孪生逻辑模型视为生产者,后一道工序的数字孪生逻辑模型视为消费者在逻辑仿真过程中,当生产者尚未传入事件信号时消费者无法进行信号解析,当消费者尚未完成前一个信号解析时生产者无法直接传入下一个信号,即一对一模式下的信息交互存在明显的先后顺序,这种先后顺序与实例化对象属性中的加工时长相关。

实际生产过程中存在生产时间等于消费时间、生产时间大于消费时间和生产时间小于消费时间3种情况,结合生产要素有限状态模型中的空闲待机、正常工作和阻塞等待3种基本状态转换过程,建立生产者消费者状态转换时间关系。

根据三态转换与对应的时间关系,采用同步推进机制解决事件信号的传入与解析问题,上述3种情况的运转情况如图5所示。

图5 同步推进规则三态转换图(1)生产时间等于消费时间 如图5a所示,整个过程不存在等待和阻塞时间,前驱生产者完成生产后,向逻辑管道传入生产完成信号,消费者随即解析前驱发出的生产完成信号,同时向逻辑管路传入等待消费信号;生产者解析后续消费者的可接收信号后发出货物,消费者进入消费时间;生产者再次进入生产时间,等下一次生产者完成生产时消费者正好完成消费,再次进入上述信号传入解析过程。

(2)生产时间小于消费时间 如图5b所示,整个过程不存在待机时间,生产者的工作时间与阻塞时间之和等于消费者的工作时间(3)生产时间大于消费时间 如图5c所示,整个过程不存在阻塞时间,消费者的工作时间与等待时间之和等于生产者的工作时间。

3互斥优先规则在一对多模式下,存在单一生产者和多个消费者相连以及多个生产者和单一消费者相连的情况,因为单位加工时间内一个生产者只能生产一个物料且该物料只能被一个消费者使用,所以在一对多模式中,多个消费者和多个生产者的情况下均会产生竞争关系。

本文采用互斥优先机制解决同种抽象模型中多个数字孪生逻辑模型间的竞争关系,具体如图6所示在逻辑生产线构建过程中,各模型通过几何尺寸GP中的前驱模型集PMS和后续模型集BMS,记录与当前模型之间具有生产者—消费者关系的对象、事件信号传输接收优先级及其此时的工作状态。

如图6a所示,在单一生产者与多个消费者相连的情况下,当生产者完成加工后,查询其后续对象工作状态集,将完成物料加工这一事件信号传输给后续对象工作状态集中优先级最高且处于空闲等待状态的消费者;当生产者完成该事件信号传输后,其余消费者无法获得该事件信号,实现了事件信号的互斥解析。

如图6b所示,在多个生产者与单一消费者相连的情况下,当所有生产者同时完成加工并在逻辑管道中传入完成物料加工这一事件信号时,消费者查询其前驱对象工作状态集,从优先级最高的生产者逻辑管道中读取事件信号进行解析,其余生产者的事件信号仍然保存在相应的逻辑管道中,实现了事件信号的优先解析。

图6 互斥优先规则实现方式6. 实例验证基于上文面向生产线逻辑仿真的数字孪生模型构建方法的研究,对以数字孪生逻辑模型为核心的生产线仿真原型系统进行开发以某药厂冻干针剂生产线中的包装线为例验证生产线仿真过程,并通过原型系统的界面操作展现数字孪生逻辑模型的几何属性、物理属性、生产行为和仿真规则。

7. 结束语本文对适用于生产线仿真的数字孪生逻辑模型构建方法展开研究,根据已提出的几何、物理、行为、规则4个维度的数字孪生模型理论建立生产线逻辑仿真的数字孪生模型所构建的数字空间的数字孪生逻辑模型包括几何属性、物理属性、生产行为和仿真规则4个层面,重点阐明了利用有限状态机理论阐述的数字孪生逻辑模型的生产行为,以及Producer/Consumer Model进程交互思想阐述的模型间交互的仿真规则。

基于上述构建方法,利用面向对象的思想构建各类加工制造设备实体的数字孪生逻辑模型,然后通过仿真软件,针对产线设计阶段出现的异常情况进行生产线再设计,并对某药厂的包装线进行了实例验证本文所述模型构建方法仅针对数字孪生逻辑模型,对实际物理空间的实体要素描述不够全面,数字空间的孪生模型需要继续更新完备。

👉 相关阅读:■ 数字孪生数据 | Digital Twin国际期刊文章推荐-1■ 数字孪生健康 | Digital Twin国际期刊文章推荐-2■ 数字孪生认知系统 | Digital Twin国际期刊文章推荐-3

■ 数字孪生未来电力系统应用 | Digital Twin国际期刊文章推荐-4■ 数字孪生网络保障服务质量 | Digital Twin国际期刊文章推荐-5■ 数字孪生腰椎分析 | Digital Twin国际期刊文章推荐-6

■ 数字孪生环境下数据采集方法 | Digital Twin国际期刊文章推荐-7■ 数字孪生智能制造复杂性研究 | Digital Twin国际期刊文章推荐-8■ 数字孪生人工智能研究综述 | Digital Twin国际期刊文章推荐-9

■ 数字孪生应用、挑战及使能技术综述 | Digital Twin国际期刊文章推荐-10■ 基于web的数字孪生实验室 | Digital Twin国际期刊文章推荐-11■ 数字孪生车间人员行为模型构建 | Digital Twin国际期刊文章推荐-12

■ 数字孪生病患路径实时监测和预测 | Digital Twin国际期刊文章推荐-13■数字孪生技术标准综述 | Digital Twin国际期刊文章推荐-14■ 智能数字孪生与复杂系统的开发和管理 | Digital Twin国际期刊文章推荐-

15■ 物联网物模型 | Digital Twin国际期刊文章推荐-16■ 基于数字孪生的特高压输电线路可听噪声研究 | Digital Twin国际期刊文章推荐-17■ 孪生系统中的时空大数据分析 | Digital Twin国际期刊文章推荐-18

■图像识别技术在数字孪生技术中的应用:以七巧板拼接为例 | Digital Twin国际期刊文章推荐-19■TAD-Net: 数字孪生车间生产行为实时检测方法| Digital Twin国际期刊文章推荐-20

■大马力拖拉机数字孪生体构建方法 | Digital Twin国际期刊文章推荐-21■电力系统中的人工智能与数字孪生:趋势、协同和机遇 | Digital Twin国际期刊文章推荐-22■数字孪生驱动的核电装备智能维修决策系统及其关键使能技术 | Digital Twin国际期刊文章推荐-23

■基于边-云协同的复杂产品工艺参数在线决策与反馈优化框架 | Digital Twin国际期刊文章推荐-24■数字孪生及其在建筑行业中的应用:最新系统性综述 | Digital Twin国际期刊文章推荐-25

编 辑 | 周   鸿 (南京航空航天大学)审 核 | 范国强 (西安电子科技大学)           陈   剑 (南京航空航天大学)欢迎投稿《Digital Twin》国际期刊投稿或了解更多详情,请访问

↓↓↓http://digitaltwin1.org/欢迎关注、投稿,并加入编辑团队汇聚、分享、交流、碰撞关于论文介绍、成果发布、会议推广、企业进展、Call for Papers、团队介绍、论文推荐、科研交流等,请与我们联系。

Email:digital_twin@126.com更多精彩内容,请关注公众号数字孪生DigitalTwin

方钉百科

分享:

成为第一个回答人

高级模式 评论
您需要登录后才可以回帖 登录 | 立即注册
Archiver 手机版 小黑屋
Copyright © 2001-2026 Comsenz Inc.  Powered by Discuz! X3.5  沪ICP备2021008143号-5