马上注册,结交更多好友,享用更多功能,让你轻松玩转社区。
您需要 登录 才可以下载或查看,没有账号?立即注册
x
1.石蜡加氢精制装置图
方钉文库
2.石蜡加氢精制装置图片
一、加氢精制技术应用概况抚顺石油化工研究院(FRIPP)是国内最早从事石油产品临氢催化技术开发的科研机构几十年来,FRIPP在轻质馏分油加氢精制、重质馏分油加氢处理、石油蜡类加氢精制、渣油加氢处理和临氢降凝等领域已开发成功。
3.石蜡加氢精制装置原理
5大类共30个品牌的商业催化剂,先后在国内45个厂家共115套加氢精制/加氢处理工业装置上应用,累计加工能力超过4000万吨/年FRIPP加氢精制技术开发的经历:· 1950s 页岩油加氢技术· 1960s 。
4.石蜡加氢精制技术
重整原料预精制技术· 1970s 汽、煤、柴油加氢精制技术· 1980s 石油蜡类加氢精制技术· 1990s 重质馏分油加氢精制技术、渣油加氢处理技术FRIPP加氢精制系列催化剂:· 轻质馏分油 481
5.石蜡加氢工艺流程
、481-3、FH-5、FH-5A、FDS-4、FDS-4A、FH-98· 重质馏分油 3926、3936、CH-20、3996· 柴油临氢降凝 FDW-1· 石油蜡类 481-2、481-2B、FV-1
6.加氢处理重石蜡馏分
· 渣油 FZC-10系列、FZC-20系列、FZC-30系列、FZC-40系列、FZC-100系列、 FZC-200系列、FZC-300系列FRIPP加氢精制催化剂工业应用统计(1999年):催化剂用途
7.石蜡含氢量高吗
装置套数 (套 ) 加工能力 (万吨) 轻质馏分油78 2660重质馏分油 13 742柴油临氢降凝 7 150石油蜡类 14 65渣油 3 484合计 1154102二、加氢精制主要反应及模型化合物加氢反应历程
8.蜡油加氢工艺
(一)加氢精制主要反应加氢精制主要反应为加氢脱硫、加氢脱氮、加氢脱氧、烯烃与芳烃的饱和加氢,以及加氢脱金属。其典型反应如下: 
9.蜡油加氢工艺流程
式中 R,R--芳烃;M--金属钒。 (2)卟啉金属镍的氢解
10.石蜡有氢元素吗
(二)模型化合物加氢反应历程石油馏分中硫、氮化合物的氢解属于双分子吸附反应机理,随着分子结构的不同,反应历程有很大差别,现扼要介绍如下:1、模型硫化物加氢脱硫反应历程硫化物加氢脱硫反应活性,随着分子结构不同而异,一般烷基硫化物大于环状硫化物,环状硫化物又随着环上取代基的增加而下降。
如硫芴的反应活性较噻吩约低一至二个数量级,硫化物的一般反应活性顺序如下:
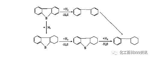
通常以噻吩或硫芴代表硫化物进行加氢脱硫反应历程的研究,图1是在Co-Mo/Al2O3催化剂上18MPa、300℃时硫芴的加氢脱硫反应历程硫芴加氢脱硫反应存在二条平行路线,(1) C-S键直接氢解,生成H。
2S和联苯;(2)其中一个苯环先加氢,然后C-S键断裂生成H2S和环己基苯。第一条反应速度常数约比第二条高一个数量级,是主导路线。
图1 硫芴加氢反应历程图2、模型氮化物的加氢脱氮反应历程氮化物的加氢脱氮反应活性,同样也随着分子结构不同而有很大差别,其一般顺序为:
其中五元及六元氮杂环化物最难加氢脱氮。图2为在Ni-Mo/Al2O3催化剂上,3.4MPa、342℃时喹啉加氢脱氮的反应网络图。
图2 喹啉加氢脱氮的反应网络图氮杂环加氢脱氮反应必须经过C=N键加氢成C-N键后断裂如图2,喹啉加氢脱氮反应首先是环加氢加氢在苯环和氮杂环上同时进行,而以氮杂环为主由于反应[Ⅰ]处于热力学平衡,故在反应温度较低时,脱氮反应步骤按[Ⅰ]→[Ⅶ]→[Ⅵ]进行,随着反应温度逐渐升高,或压力降低时,平衡移向左边,则反应步骤愈来愈明显转变为[Ⅳ]→[Ⅴ]→[Ⅵ]。
因受邻近苯核共振能的影响,苯胺的C-N键很难断裂,因此反应[Ⅲ]速度很慢,实际上很少发生。3、芳烃加氢反应历程一般馏分油的芳烃加氢主要指萘系或蒽(菲)系稠环芳烃的加氢。其反应历程如下。
从反应历程可见,稠环芳烃加氢有两个特点:( 1 )每个环加氢脱氢都处于平衡状态;( 2 )加氢逐环依次进行从稠环芳烃的分子结构考虑,当稠环芳烃中一个环引进一个分子氢以后,其苯核共振能的稳定化作用便受到破坏,因而生成的环烯比较容易加氢生成环己烷,例如具有三个苯环的蒽,其第。
9及第10位置就比萘第7、8位置不稳定,容易与氢反应,而萘比苯又更具有烯烃性质,因此比苯又容易加氢生成四氢萘但当萘一旦加上二个分子的氢,或蒽加上一个分子氢以后,则相对地变得更加稳定,继续加氢就需要苛刻的加氢条件。
稠环芳烃加氢深度受到热力学平衡的限制,一些稠环芳烃加氢平衡常数如下表一些稠环芳烃加氢的平衡常数反应热力学平衡常数500K600K700K5.63.2×10-28×10-42.5×1021.6×10-46.3
×10-90.85×10-31.4×10-40.52.5×10-51.8×10-80.81.3×10-104.0×10-14显然,随着反应温度升高,加氢平衡常数呈数量级下降,因此芳烃深度饱和加氢必须在较低温度下进行。
4、加氢脱金属反应加氢脱金属是渣油加氢精制的主要反攻反应由于在渣油中,金属及硫、氮一般共同存在于沥青质胶束中,因此,从渣油中加氢脱金属和加氢脱硫、脱氮与沥青质的转化是分不开的沥青质胶束的裂解是通过反应″
a″与反应″b″连续反应过程,反应″a″是首先通过金属(M)桥的断裂,以及金属(V或Ni)从卟啉结构中脱除,然后经反应″b″,通过杂原子(S、N)的脱除,进一步降低分子量,而形成稠环芳烃和烷烃桥合的沥青质碎片。
一般认为沥青质裂解属于热裂解反应,而渣油加氢精制过程一般要求较高的氢分压,主要在于抑止催化剂表面积炭的形成(三)典型工艺流程
三、加氢精制工艺技术(一)重整原料预加氢催化剂及工艺FRIPP开发的重整原料预加氢催化剂主要有481-3催化剂及FDS-4A催化剂481-3催化剂活性达到了国外同类催化剂S-12、HR-306水平,已经在国内。
25个厂家30套工业装置上应用;FDS-4A催化剂是近期开发的新一代加氢精制催化剂,其活性明显高于国际市场上的同类主流催化剂,是481-3催化剂的换代产品,目前已有8套工业装置使用481-3催化剂用于国内重整原料预加氢时,可在氢压。
1.0~2.0MPa、反应温度270~320℃、体积空速2.0~12.0h-1、工艺条件下进行;用于进口高硫重整原料预加氢时,可在氢压1.0~2.0MPa、反应温度270~320℃、体积空速2.0~5.0h
-1工艺条件下进行FDS-4A催化剂活性更高,用于进口高硫重整原料预加氢时,可在氢压1.0~2.0MPa、反应温度270~320℃、体积空速6.0~10.0h-1工艺条件下进行481-3催化剂、FDS-4A。
催化剂高空速试验典型结果催化剂481-3FDS-4A氢压 MPa1.472.0体积空速 h-112.08.0氢油体积比100100油料名称大庆直馏油生成油原料油生成油硫 μg/g148<0.52400<0.5
氮 μg/g1.0<0.51.0<0.5(二)二次加工汽油加氢精制催化剂及工艺随着我国炼油工业的迅速发展,焦化、催化及热裂化加工能力不断增加,为改善这些二次加工汽油的质量,FRIPP开发了特别适合这类油料加氢精制的
481-3、FH-5、FH-98催化剂FH-98催化剂是近期开发的新型加氢精制催化剂,已经在多套焦化汽油加氢装置上工业应用二次加工汽油加氢可根据原料油性质及产品要求,调整工艺参数达到不同的加氢深度目前,全国已有。
13套工业装置应用FRIPP技术焦化汽油加氢生产石脑油典型工业运转结果催化剂481-3氢压 MPa3.5体积空速 h-12.0氢油体积比400油料名称焦化汽油生成油密度(20℃)g/cm30.73070.7221
馏程范围 ℃59~21077~205溴价 g-Br/100g68.00.5颜色>+30硫 μg/g5152.5氮 μg/g960.3(三)煤油加氢精制催化剂及工艺煤油加氢精制分两种,一种是煤油深度加氢精制,为烷基苯提供进料;另一种为航煤浅度加氢精制脱硫醇。
FRIPP开发的煤油加氢精制催化剂主要有481-3、FDS-4A催化剂,用于煤油深度加氢精制的工艺条件为:氢压4.0~5.0MPa、反应温度280~320℃、体积空速1.0~2.0h-1;用于煤油浅度加氢精制的工艺条件为:氢压
0.5~1.6MPa、反应温度190~290℃、体积空速2.5~4.0h-1481-3催化剂已经在煤油深度加氢精制装置上应用,FDS-4A催化剂在煤油浅度加氢精制装置上工业应用481-3催化剂、FDS-4A。
催化剂工业应用典型结果催化剂481-3FDS-4A氢压 MPa4.81.4反应温度℃290260体积空速 h-12.02.0氢油体积比420131油料名称原料油生成油原料油生成油硫 μg/g910<0.5
880100硫醇硫 μg/g942氮 μg/g4.77<0.5溴指数 mg-Br/100g876112(四)劣质二次加工柴油加氢精制催化剂及工艺随着原油的重质化及对轻油需要量的增加,二次加工柴油的量越来越多,油品质量越来越差,需要加氢精制才能出厂。
FRIPP开发的劣质二次加工柴油加氢精制催化剂有FH-5、FH-98催化剂 FH-98催化剂是FRIPP在总结已有成功经验的基础上开发的新一代劣质二次加工油品加氢精制催化剂,是FH-5催化剂的换代产品通过活性组分的优化组合、改善金属组分在载体上的分散性能、添加助剂、调变载体的微孔结构、调整催化剂外形及颗粒度等方面的试验工作,使FH-98催化剂具有了优异的加氢精制性能和使用性能。
FH-98催化剂是以含硅氧化铝为载体,担载钨、钼、镍、钴活性组分的三叶草形催化剂该催化剂具有活性组分匹配合理、活性金属高度分散、加氢脱硫和加氢脱氮活性高、装填密度低等特点 FH-98催化剂已经分别在中国石化和中国石油天然气集团公司系统内六套工业装置上应用。
FH-98催化剂用于大庆柴油加氢典型结果项目12油品名称原料油精制油原料油精制油密度(20℃)g/cm30.83510.82440.83450.8259馏程范围 ℃175~367182~367179~373
176~376硫 μg/g63043.461034.6氮 μg/g892.7257.0897.2267.0碱氮 μg/g469.4104.0402.9118.9实际胶质 mg/100ml83.426.4
87.411.8氧化安定性 mg/100ml8.401.5110.661.55酸度 mgKOH/100ml2.200.792.350.73碘值 g-I/100g43.111.8143.001.8910%蒸余物残炭 %
0.110.0290.130.024颜色(D1500) 号4.5<0.54.5<0.5十六烷值53565356(五)进口高硫柴油加氢精制催化剂及工艺随着国内高硫原油进口量的逐年增加,必须加速发展加工高硫原油的成套技术,
FRIPP针对进口高硫原油柴油的性质,开发了FDS-4、FH-5A催化剂,可用于从高硫原料生产优质低硫柴油FDS-4催化剂主要以脱硫为主;FH-5A催化剂是FH-5催化剂的改进型,选用与FH-5催化剂相同的载体,。
Mo-Ni-Co为活性组分,采用新的制备技术,该催化剂活性金属高度分散,表面结构合理由于FH-5A催化剂具有脱硫、脱氮活性兼顾的特点,因而对原料具有较强的适应性工艺研究表明:FH-5A催化剂在缓和的工艺条件下对中东高硫原油的直馏柴油、二次加工柴油及其混合油进行加氢精制,可生产低硫、安定的优质柴油。
FH-5A催化剂于1999年11月已经在160×104t/a加氢精制装置上工业应用该装置原设计进料为中东直馏柴油掺30%重油催柴在实际应用中, 炼油厂为平衡全厂原料, 需增炼焦化柴油, 即掺入30%重催柴油和15%焦化柴油,进料硫含量高达0.8~1.9w%,增加了该装置加氢精制难度。
在反应压力4.0MPa、体积空速2.0 h-1条件下, 可从高硫原料(硫:1.46%)生产优质低硫柴油,脱硫率达96.7%、脱氮率80.4%该催化剂的应用成功, 对于石化企业加工进口含硫原油, 生产低硫柴油。
(硫含量低于0.05w%)具有十分重要的意义FH-5、FH-5A催化剂典型的试验结果催化剂FDS-4FH-5A氢压 MPa3.43.4体积空速 h-13.02.5油料名称原料A生成油 原料B生成油硫 μ。
g/g99004279000343氮 μg/g903843247FH-5A催化剂用于柴油加氢装置典型结果名称原料油精制柴油精制汽油密度(20℃)g/cm30.86600.83380.7539馏程范围 ℃
163~356186~35583~163硫 μg/g14640480391氮 μg/g447.687.8溴价 g-Br/100g10.972.100.54腐蚀合格凝点 ℃<-10比色<0.5闪点 ℃78
(六)焦化全馏分油加氢精制催化剂及工艺焦化馏出油的油品性质较差,需要加氢精制才能满足汽油、柴油及蜡油产品的要求FRIPP开发的FH-5、FH-98加氢精制催化剂可适合这类油品的加氢精制FH-5催化剂已经在炼油厂焦化全馏分油加氢精制装置上工业应用。
FH-98催化剂是FH-5催化剂的换代产品,其脱氮活性明显优于FH-5催化剂FH-5催化剂用于焦化全馏分油加氢精制工业应用典型结果工艺条件氢压 MPa7.4体积空速 h-11.12油料名称进料生成油石脑油
轻柴油蜡油密度(20℃) g/cm30.83070.81150.70370.82560.8718馏程范围 ℃50-46041-165180-364248-463硫 m%0.910.020.010.04氮 μ
g/g25846176.74111408碱氮 μg/g1452277450实际胶质 mg/100ml21.0 溴价 g-Br/100g31.61.5碘值2.8 酸度 mgKOH/100ml21.0 (七)石蜡加氢精制催化剂及技术
石蜡产品已广泛地用于蜡烛、乳化蜡、建筑、造纸、橡胶、火工、食品、包装等多种行业1998年我国石蜡总产量及出口量(占当年国际石蜡贸易份额75%)均居世界榜首石蜡生产主要有酸-白土法和加氢精制法我国从1979
年发展起来的石蜡加氢精制技术,以其质量好、收率高、操作灵活及基本消除三废污染等优点而得以迅速发展目前,我国已拥有石蜡加氢总加工能力约90万吨/年,占全国石蜡总产量85%左右加氢石蜡产品除满足国内市场需求外,还以其质优价廉供货充裕的竞争优势,每年还有大宗石蜡产品出口到世界各地,经济效益、社会效益及创汇均有佳绩。
石蜡加氢精制是将原料石蜡在有氢气、催化剂及最佳工艺条件下生产高品质石蜡的过程精制的目的旨在原则上不改变原料蜡基本构成和主要理化性质的情况下,脱除原料蜡中的稠环芳烃及含有硫、氮、氧等杂质的非烃类物质我国石蜡加氢精制技术经过
20年的发展历程,总加工能力已达90万吨/年,共11套装置,单套装置最大加工能力15万吨/年,所加工的原料蜡范围很宽,有大庆油、沈北油、华北油、南阳油和部分进口原油等多种石蜡原料所用的催化剂先后共有10
个品牌,其中481-2B型催化剂的覆盖率占70%左右FV型催化剂是1998年由抚顺石油化工研究院开发并投入工业应用的新一代石蜡加氢精制催化剂 工业应用结果表明,上述催化剂虽然都可以满足中压下石蜡加氢精制对产品质量的要求,但以新开发的。
FV型催化剂具有更佳的应用效果,其特点是:(1)活性高FV型催化剂在较低的反应温度下(257~265℃)实现了较高空速(1.3h-1)下的石蜡加氢精制过程,在达到相同的石蜡质量(食品蜡)情况下,采用FV
型催化剂进行操作,可以比481-2B及参比剂提高加工能力30%或更高(2)氢蜡比低(3)机械强度较高四、加氢精制催化剂· 汽油加氢精制工业牌号481481-3FDS-4AFGH-20/FGH-11HDO-18。
强度 N/粒4044404090(N/cm)工业堆比 Kg/m3700800750~850700700~800工业应用时间19801987199520032003· 煤油加氢精制工业牌号:FDS-4A
(性质见汽油加氢精制)· 柴油加氢精制催化剂工业牌号FH-5FH-5AFH-98FH-DS强度N/粒5040150(N/cm)19工业堆比Kg/m31000~1200850~950800~1100900~1000。
工业应用时间1990199919992003· 蜡油(VGO)加氢精制工业牌号39263936CH-203996FF-16强度N/mm15>16181814工业堆比Kg/m3850~950850~900
850~950900~950900~950工业应用时间19931994199719992002· 加氢保护剂工业牌号FZC-10系列/FZC-10Q系列FZC-100系列强度5~30 / >8(N/mm)
200 / 2(N/mm)工业堆比 Kg/m3≯0.850.44~0.85工业应用时间19941999
方钉文库
|