马上注册,结交更多好友,享用更多功能,让你轻松玩转社区。
您需要 登录 才可以下载或查看,没有账号?立即注册
x
1.延迟焦化装置的原理及工艺流程
方钉工社 
2.延迟焦化装置 施工难点
本期内容由湖南天一奥星泵业有限公司冠名摘要:延迟焦化工艺(简称焦化,后同)是重油轻质化的有效途径之一它以减压渣油为原料,通过高温裂解脱碳,生产出富气、汽油、柴油和蜡油轻质组分随着开采油田的老化以及市场对原油需求的不断增加,重质油源越来越多,焦化加工工艺受到了充分重视。
3.延迟焦化装置 英文
焦化装置的产品中都不同程度地存在焦粉携带问题而焦化干气中的焦粉对下游装置的正常生产运行产生了较严重影响本文主要探讨了一种延迟焦化装置气体产品清洁生产技术研究开发与工业应用情况关键词:延迟焦化 气体产品 清洁生产
4.延迟焦化装置流程图
1、前言延迟焦化是炼油厂大量应用的渣油转化技术,是美国、中国、委内瑞拉、印度、加拿大等国渣油轻质化的主要手段,全球共有170余套渣油延迟焦化装置在运行,总加工能力4亿吨以上,我国2012年延迟焦化加工能力已达1.13亿吨。
5.延迟焦化装置的防焦措施
美国和中国的大型石油公司都拥有自主的渣油延迟焦化成套技术焦化装置的产品中都不同程度地存在焦粉携带问题而焦化干气中的焦粉对下游装置的正常生产运行产生了较严重影响主要表现为:①引起气体脱硫装置脱硫剂变脏发泡,使脱硫效果下降;堵塞旋分器液相回收管线,造成脱硫剂大量跑损。
6.延迟焦化装置工艺流程
②使焦化装置加热炉瓦斯火嘴及长明灯堵塞,造成炉出口温度调节困难;严重时还可能引起炉膛闪爆事故③堵塞干气制氢装置催化剂床层,缩短装置的开工周期④不同程度地造成上列装置的仪表取压导管堵塞,造成信息失真,影响安全平稳操作。
7.延迟焦化装置阀门
随着装置运行水平要求的提高,为了延长开工周期,采用精细过滤减少事故成为解决焦化气体产品中焦粉携带问题的经济可行措施之一2、技术现状调研情况为了尽快解决焦化干气带焦粉的问题,我们对国内的同类情况进行了调研。
8.延迟焦化装置的作用
调研发现,中石化xx炼化曾经采用过一套(两台)焦化干气过滤器外,最初是为了解决燃烧加热炉火嘴的堵塞问题而设计的,实际使用时安装在制氢原料气进压缩机前,用来解决焦粉对压缩机的影响该组过滤器的设计允许压降为0.3MPa,进出口公称直径为DN150,设计承压1.6MPa,设计操作温度80℃,过滤器主体DN200、容积0.201m3,设计处理能力为6000Nm3·h-1焦化干气。
9.延迟焦化装置技术问答
98年3月出厂投用以来,焦化干气只进过一个月,以后改为加氢裂化干气因为加氢裂化干气比较干净,仅曾反吹过一次,从未拆开清理过现场压力表(一般压力表)显示没有压降由于没有真正用于焦化干气上,xx炼化的干气过滤器不能直接照搬照用。
10.延迟焦化装置的原料主要是
有些过滤器生产企业提出了洗涤过滤方案,还有的提出在焦化气压机入口上一台大型除尘设备等方案,还有单台式差压控制自动反吹方案和双台式差压显示手动反吹方案等比较各个方案发现:采用密闭反吹清理的方案普遍投资较高,而且滤芯精度推荐值最佳为10µm,加之没有成功的应用经验,投资风险较高。
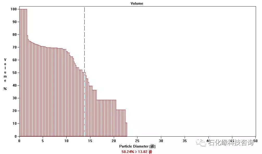
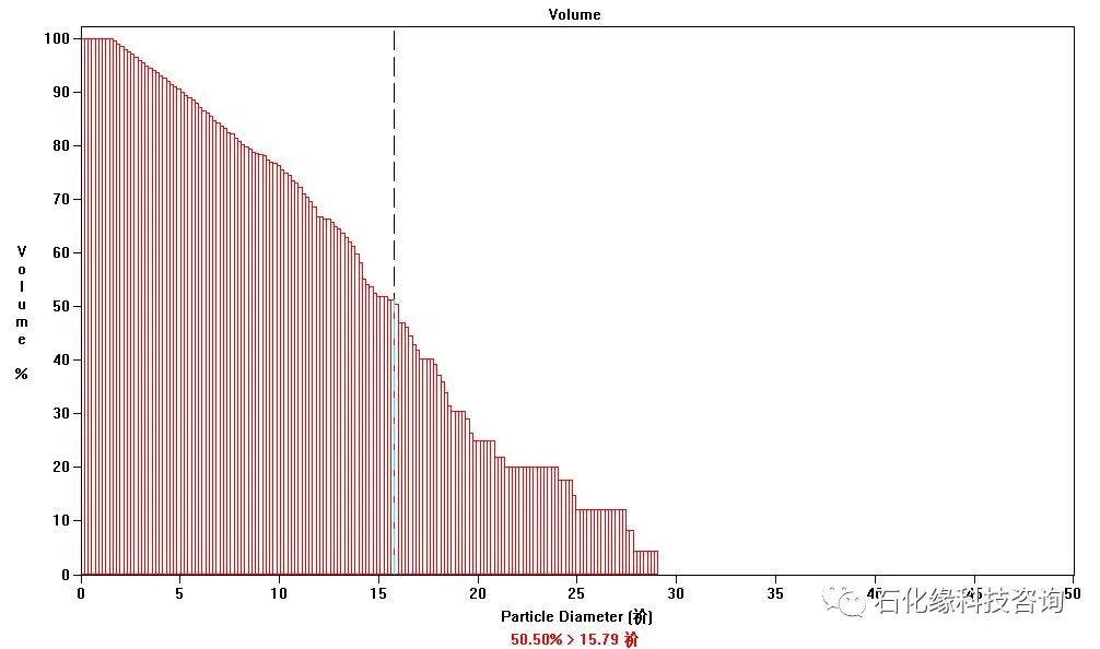
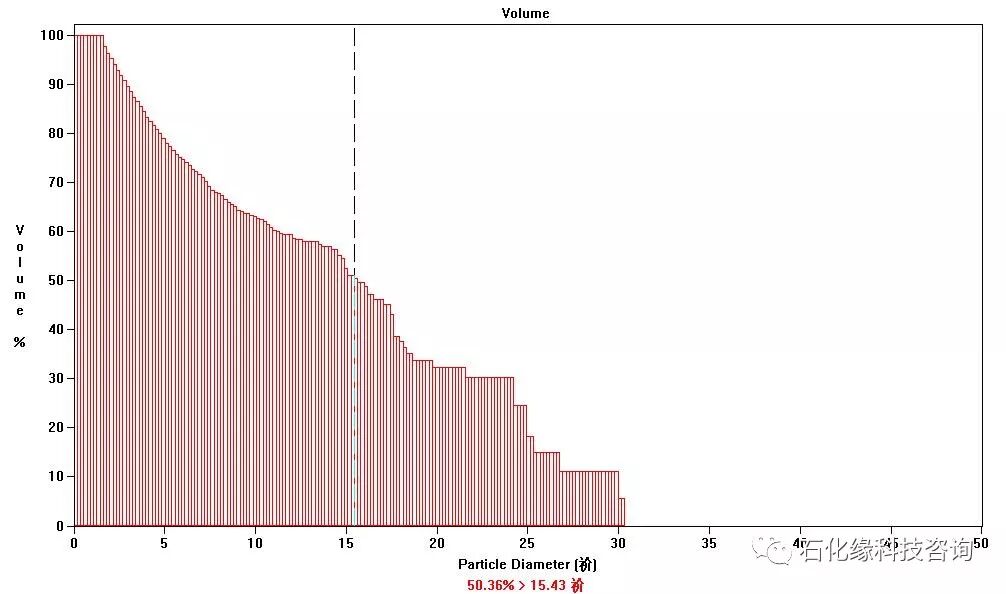
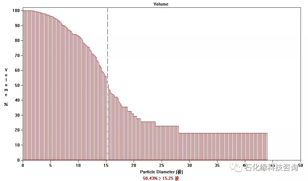
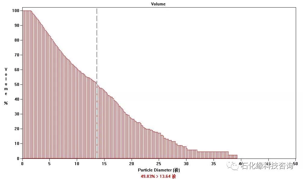
3、实验室小试研究结果3.1 焦化干气中粉尘粒径分布我院对中石油xx公司延迟焦化装置所产干气进行了采样分析,该公司焦化干气中的粉尘粒径分布情况如下:采用Coulter Multisizer II粒径分析仪,孔径70mm的小孔管,测量粉尘的粒径分布。
表1 焦化干气检测数据记录表采样时间采样气体容积m3/h采样压力MPa滤筒号采样前滤筒称重g采样后滤筒称重g粉尘捕集量g粉尘浓度粉尘中位粒径mmmg/m3mg/Nm313:40~14:40100.450321
56.880056.92300.0434.31.019.614:48~15:48100.45034257.217057.25780.04084.080.921.015:50~16:50100.450319
55.341955.38420.04234.230.915.317:08~20:08300.52031556.155656.55730.401713.392.613.609:20~11:2025.60.43
032554.695754.84910.15345.9921.415.811:09~12:09200.3031254.940255.00070.06053.0251.015.112:16~13:1620
0.3033354.695454.72500.02961.480.513.813:24~14:24200.3034656.449457.04190.592529.6259.914.714:34~15:34
200.3032254.714555.29270.578228.919.614.515:40~16:40200.3034952.516152.96110.44522.257.415.4粉尘浓度变化波动较大,其浓度变化范围在0.9~9.9mg/Nm3之间。
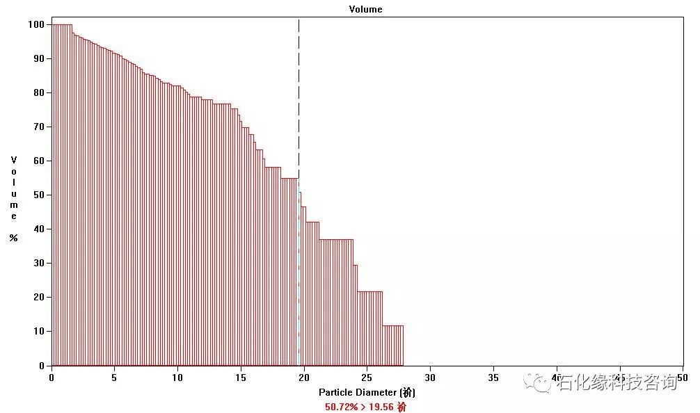
粉尘中位粒径约为15mm 3.2 粒径分布检测结果1) 8月14日13:40~14:40,中位粒径19.6mm
2) 8月14日14:48~15:48,中位粒径21.0mm
3) 8月14日15:50~16:50,中位粒径15.3mm
4) 8月14日17:08~20:08,中位粒径13.6mm
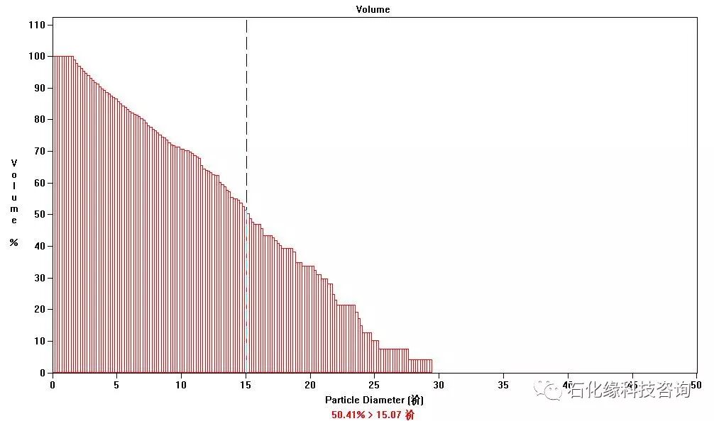
5) 8月15日09:20~11:20,中位粒径15.8mm
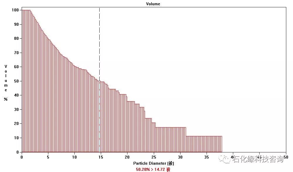
6) 8月17日11:09~12:09,中位粒径15.1mm
7) 8月17日12:16~13:16,中位粒径13.8mm
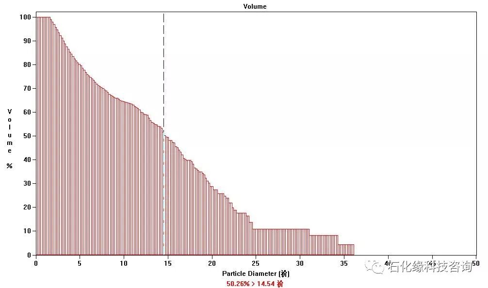
8) 8月17日13:24~14:24,中位粒径14.7mm
9) 8月17日14:34~15:34,中位粒径14.5mm
10) 8月17日15:40~16:40,中位粒径15.4mm
3.3 小试实验结果经过筛选, 因为干气中含有2~10µm的颗粒,因此使用旋风分离器的方案,由于分离精度只能在5µm以上,不能满足我们的要求而密闭反吹方案中的采用布袋式除尘器方案,因为压降大的原因,也不适用于焦化装置的干气过滤。
一次性纳垢滤芯过滤方案投资低,过滤精度最高可达1µm,有空气过滤的成功经验,相对成功的几率高,投资风险小4、工业试验4.1 流程及方案采用一次性纳垢滤芯过滤方案在xx炼油厂焦化车间进行了工业试验,采用一台过滤器安装在焦化装置再吸收塔后富气出装置管线上。
焦化富气中不仅带有焦粉,而且还带有吸收剂的雾滴,自动反吹效果受限所以该方案采用一次性纳垢型滤芯,使用一定时间后人工清理更换新滤芯工作流程示意如图1根据后续设备中有焦粉沉积的现象,过滤器选用较大外径,以降低内部气体流速,使其首先具有沉降分离的功能。
富气的进出口均设在容器的下部,下支承盘结构便于滤芯更换工作采用多支折叠式大面积纳垢型滤芯,以延长拆卸清理周期过滤器设有出入口现场差压计,操作中可视该值的变化情况确定是否进行切换清理因介质易燃易爆,且有毒气体H2S的含量较高,为了确保滤芯清理更换工作安全进行,设置了密闭撤压和氮气置换或蒸汽吹扫措施。
因焦化富气中焦粉含量以及粒度分布缺乏数据,过滤器出入口设置等速采样设施;通过采样分析摸清底数后,再选择合适的过滤精度,既保证处理效果,又减少清理频次
图1 工业方案工作流程示意图4.2 工业试用过滤器设计技术指标采用1台型号为4210×1000×18/1.6的过滤器,每台内装18支规格为210×1000的纤维滤芯,主要设计指标见表1表2:焦化干气过滤器设计技术指标。
项 目指标项 目指标富气额定流量/ Nm3·h-18000最大允许工作压差/KPa50工作温度/℃45滤芯清理周期/day,≮ 60工作压力/MPa1.0粒径大于5µm焦粉的脱除效率/%,≥
904.3 正式运行及标定检测结果更换改进的滤芯后过滤器又投入正式运行,密切观察未见任何异常表2为主要操作纪录,从中可见差压呈逐渐攀升趋势表3:过滤器操作数据:序号富气流量/Nm3·h-1温度/℃压力/
MPa过滤器压差/ KPa14878320.931024858280.931034876290.921244865310.941554855240.921564867310.951874879330.94
20投用一个多月后进行了标定标定采用合并采样法:出入口同时各采一个样,采样时间90分钟,以最大可能减少操作误差和装置波动对检测结果的影响以下为标定检测结果(1)即大于5µm颗粒的平均浓度为0.40 mg·Nm-3。
(2)过滤器入口平均粉尘浓度为9.97 mg·Nm-3,其中粒径大于5µm的质量为颗粒总质量的80%,因此入口粉尘中大于5µm颗粒的平均浓度为7.93 mg·Nm-3(3)用过滤器出口、入口的粉尘浓度可以计算得到过滤器的总过滤效率为90%;粒径大于5µm颗粒的过滤效率为94.85%。
实现了过滤效果大于90%的目标
图11:出入口粉尘颗粒的筛上累积频率分布图(—入口粉尘颗粒的筛上累积频率分布;—出口粉尘颗粒的筛上累积频率分布)4.4 工业试验效果分析焦化装置干气过滤器投用后运行平稳,未出现憋压现象脱硫装置未再发生导淋和仪表堵塞故障,瓦斯管线也没有再出现压降升高趋势。
焦化干气引入后路装置后,也没发现带焦粉的迹象切实消除了焦粉对后续装置操作的影响说明改进设计达到了技术要求,焦化装置干气过滤器的应用很成功在运行和检测中,从过滤器的底部放出大量黑色凝液,说明过滤器不但可脱除固体颗粒,而且对干气带液也有一定的过滤去除作用。
凝液中大部分是水,还有少量的柴油和焦粉为此在过滤器底部增设排凝线,定期排入含硫污水系统5、结论综上所述,延迟焦化装置采用一台高精度、大面积、纳垢式过滤器处理气体产品,清理滤芯的周期可达5个月以上,焦化气体产品中大于5µm的颗粒的去除率大于90%,过滤器出口粉尘浓度降低到1ppm左右,达到了很高的净化程度,消除了焦化干气携带粉尘和柴油对后序装置的不良影响,起到了维护装置长周期平稳运行的作用。
参考文献:1 翟国华.21世纪中国炼油工业的重要发展方向-重质(超重质)原油加工[J].中外能源,2007,12(3):582 张峰.辽河油田超稠原油延迟焦化的研究.天然气与石油,2004,22(2):50-52
3 姜文 程刚 赵玉军等苏丹稠油的延迟焦化.炼油技术与工程,2005,35(4):6-84 程之光:《重油加工技术》,中国石化出版社,1994作者简介:张东明,1975年6月3日出生男,汉族,籍贯:辽宁省盘锦市。
1998年毕业于沈阳化工学院化学工程专业,大学学士学位,高级工程师,目前在中石油石化院从事焦化等装置工艺技术研究开发工作曾获得辽宁省自然科学成果奖3项,发表论文4篇本文内容来源于中国石油石油化工研究院,经
作者授权发布供大家学习交流,如有疑问欢迎留言,与石化缘合作投稿请点击下方图片了解详情!
其它推荐:(点击标题,阅读文章 )1、全面了解车用乙醇汽油以及燃料乙醇!2、石化院专家:碳四产业链转型与新技术开发!3、新标准驱动下C4综合利用技术新进展?4、中石化专家:乙醇汽油对炼油产业的影响!5、中石油专家:MTBE产业面临的危机与挑战!
广告合作请加小编微信:gzshy2016
方钉百科
|